Philip Phillips’ team develops an exactly solvable model with quantum fluctuations for Mott insulators

11/27/2025 Daniel Inafuku for Illinois Physics

In a study published in Nature Physics on Oct. 31, 2025, a team of researchers at the Anthony J. Leggett Institute for Condensed Matter Physics and the Department of Physics at the University of Illinois Urbana-Champaign has introduced a new model for HTSCs’ parent compounds, the doped Mott insulators, that is exactly solvable in all lattice dimensions and agrees with state-of-the-art simulations of HTSCs, markedly reducing the computational cost of standard numerical methods. This study marks the first achievement of an exactly solvable model for Mott physics beyond one dimension and opens a door to exploring different cuprate phases in a theoretically rigorous way.

Written by Daniel Inafuku for Illinois Physics

Since the Nobel Prize-winning discovery of the cuprate high-temperature superconductors (HTSCs) in 1986, scientists have been searching for the mechanisms underlying these materials’ unique physics. But despite worldwide efforts across experimental, computational, and theoretical fronts, HTSCs continue to confound scientists because of their electrons’ strong interactions, presenting one of the greatest scientific challenges of the last 40 years.

Now, in a study published in Nature Physics on Nov. 27, 2025, a team of researchers at the Anthony J. Leggett Institute for Condensed Matter Physics and the Department of Physics at the University of Illinois Urbana-Champaign has introduced a new model for HTSCs’ parent compounds, the doped Mott insulators, that is exactly solvable in all lattice dimensions and agrees with state-of-the-art simulations of HTSCs, markedly reducing the computational cost of standard numerical methods. This study marks the first achievement of an exactly solvable model for Mott physics beyond one dimension and opens a door to exploring different cuprate phases in a theoretically rigorous way.

Two models for Mott insulators

All cuprate HTSCs originate from materials known as Mott insulators. Although their electronic band structure suggests that they should conduct, strong repulsive interactions between their electrons make Mott insulators genuine insulators. The addition of special impurities called dopants, however, can turbocharge these insulators and enable them to conduct under the right conditions, giving rise to the entire family of cuprate HTSCs we know today.

Naturally, a complete understanding of the cuprates starts with a concrete theory for the doped Mott insulators. But unfortunately, their strong interactions make them prohibitively difficult to analyze—so difficult, in fact, that they’ve denied physicists a precise mathematical characterization, what physicists call an exactly solvable model, since they were first studied in the 1940s.

To get around this hurdle, physicists often simulate Mott physics, or mottness, using the Hubbard model, which idealizes a material as a grid of atomic lattice sites. Here, electrons can hop from site to site and repel each other when they occupy the same site because of the electrons’ like charges. Competition between the electrons’ tendency to hop around and their repulsive interactions determines the complex behavior of mottness.

Cartoon of the 2D Hubbard model. The Hubbard model is composed of atomic lattice sites (purple circles). Electrons (orange arrows for spin up and blue arrows for spin down) can hop from site to site (black arrows) and experience a repulsive force (gold circles) whenever two electrons occupy the same site. This simple model helps physicists predict properties of strongly interacting matter, such as magnetism and superconductivity. (Illustration by Daniel Inafuku, Illinois Physics)
Cartoon of the 2D Hubbard model. The Hubbard model is composed of atomic lattice sites (purple circles). Electrons (orange arrows for spin up and blue arrows for spin down) can hop from site to site (black arrows) and experience a repulsive force (gold circles) whenever two electrons occupy the same site. This simple model helps physicists predict properties of strongly interacting matter, such as magnetism and superconductivity. (Illustration by Daniel Inafuku, Illinois Physics)

This simple model has incredible predictive power, theoretically reproducing a number of experimentally observed features of cuprate HTSCs, including their magnetic ordering and doping dependence. But unfortunately, the Hubbard model is exactly solvable in only one dimension.

“Real superconductors are virtually two-dimensional,” Illinois Physics Professor Philip Phillips noted. “The cuprates, for instance, are layered materials, consisting of sheets of copper and oxygen atoms.”

In dimensions greater than one, the Hubbard model resists pen-and-paper analysis, forcing physicists to rely on computationally expensive algorithms instead. But even the world’s best supercomputers and numerical algorithms can simulate only around 60 electrons at a time on a two-dimensional lattice.

To reach two dimensions and higher, scientists have recently been exploring an alternative known as the Hatsugai-Kohmoto (HK) model. In this framework, two electrons repel each other when they share the same momentum, the opposing limit of the Hubbard picture, where they repel when sharing the same position. This momentum picture of the HK model turns out to be exactly solvable in all dimensions.

But physicists have long overlooked the HK model since its invention in 1992 because of its perceived simplicity and failure to account for several aspects of mottness already built into the Hubbard model.

Phillips explained, “The HK model lacks momentum mixing, where electrons scatter off each other and exchange their momenta. This scattering is the key feature of the Hubbard model, so its absence was the main reason that many dismissed the HK model and thought the two models were completely unrelated.”

But over the last few years, Phillips’ team has made enormous progress in uncovering some surprising details about the HK model. In recent breakthroughs, they showed that it predicts a new kind of HTSC transition and even belongs to the same class of models, or universality class, as the Hubbard model.

For many in the condensed matter community, though, the gap between the HK and Hubbard models was still too large. Phillips and his team wanted to go one step further.

Between HK and Hubbard

Because the Hubbard and HK models lie at opposite ends of a spectrum—exact solvability at one end (HK) and physical realism at the other (Hubbard)—Phillips’s team wondered if they could navigate the space between the two, working their way to the Hubbard model from the HK model while preserving its exact solvability.

Diagrams of the 2-momentum-mixing Hatsugai-Kohmoto (2-MMHK) model (left) and the 4-MMHK model (right). Interactions are Hubbard interactions within each cell but HK interactions between cells. As the cell size increases, the models become more Hubbard-like, eventually becoming the full Hubbard model when a single cell includes all the lattice sites. The momenta within a given cell are said to be “mixed.” (Credit: P. Mai et al., Nature Physics, Oct. 31, 2025)
Diagrams of the 2-momentum-mixing Hatsugai-Kohmoto (2-MMHK) model (left) and the 4-MMHK model (right). Interactions are Hubbard interactions within each cell but HK interactions between cells. As the cell size increases, the models become more Hubbard-like, eventually becoming the full Hubbard model when a single cell includes all the lattice sites. The momenta within a given cell are said to be “mixed.” (Credit: P. Mai et al., Nature Physics, Nov. 27, 2025)

Illinois Physics Postdoctoral Researcher and lead author Peizhi Mai explained, “We imagined building a bridge from HK to Hubbard, introducing momentum mixing in a systematic way.”

To mix in momenta, the researchers grouped lattice sites into cells and restricted Hubbard interactions to sites within the cells, allowing HK interactions only between cells. What’s remarkable about this approach is that it incorporates momenta in a mathematically tractable way, and as the cell size n increases, the system becomes more Hubbard-like. This process generates an entire family of models—collectively known as the momentum-mixing HK (MMHK) model—one model for each n, with each member referred to as the n-MMHK model.

Mai pointed out, “It is the momentum mixing that makes each cell look like Hubbard physics.”  

Eventually, the cell size becomes so large that it engulfs the entire lattice, becoming exactly the full Hubbard model, precisely the researchers’ target destination. Most importantly, each n-MMHK model is exactly solvable in any dimension. Speaking metaphorically, the researchers essentially leapfrogged their way from the HK model to the Hubbard model along a path that preserves exact solvability.

Visualization (not to scale) of the path from the Hatsugai-Kohmoto (HK) model (left, labeled “1”) to the Hubbard model (right, labeled “∞”). Each node’s numeric label n denotes the n-momentum mixing HK (n-MMHK) model. (Note that the HK model and the 1-MMHK model are equivalent.) Each model—except the Hubbard model—is exactly solvable in all dimensions. Only five n-MMHK models are shown because of the rapid convergence rate. (Graphic by Daniel Inafuku, Illinois Physics)
Visualization (not to scale) of the path from the Hatsugai-Kohmoto (HK) model (left, labeled “1”) to the Hubbard model (right, labeled “∞”). Each node’s numeric label n denotes the n-momentum mixing HK (n-MMHK) model. (Note that the HK model and the 1-MMHK model are equivalent.) Each model—except the Hubbard model—is exactly solvable in all dimensions. Only five n-MMHK models are shown because of the rapid convergence rate. (Graphic by Daniel Inafuku, Illinois Physics)

Proof-of-principle tests against the Hubbard model

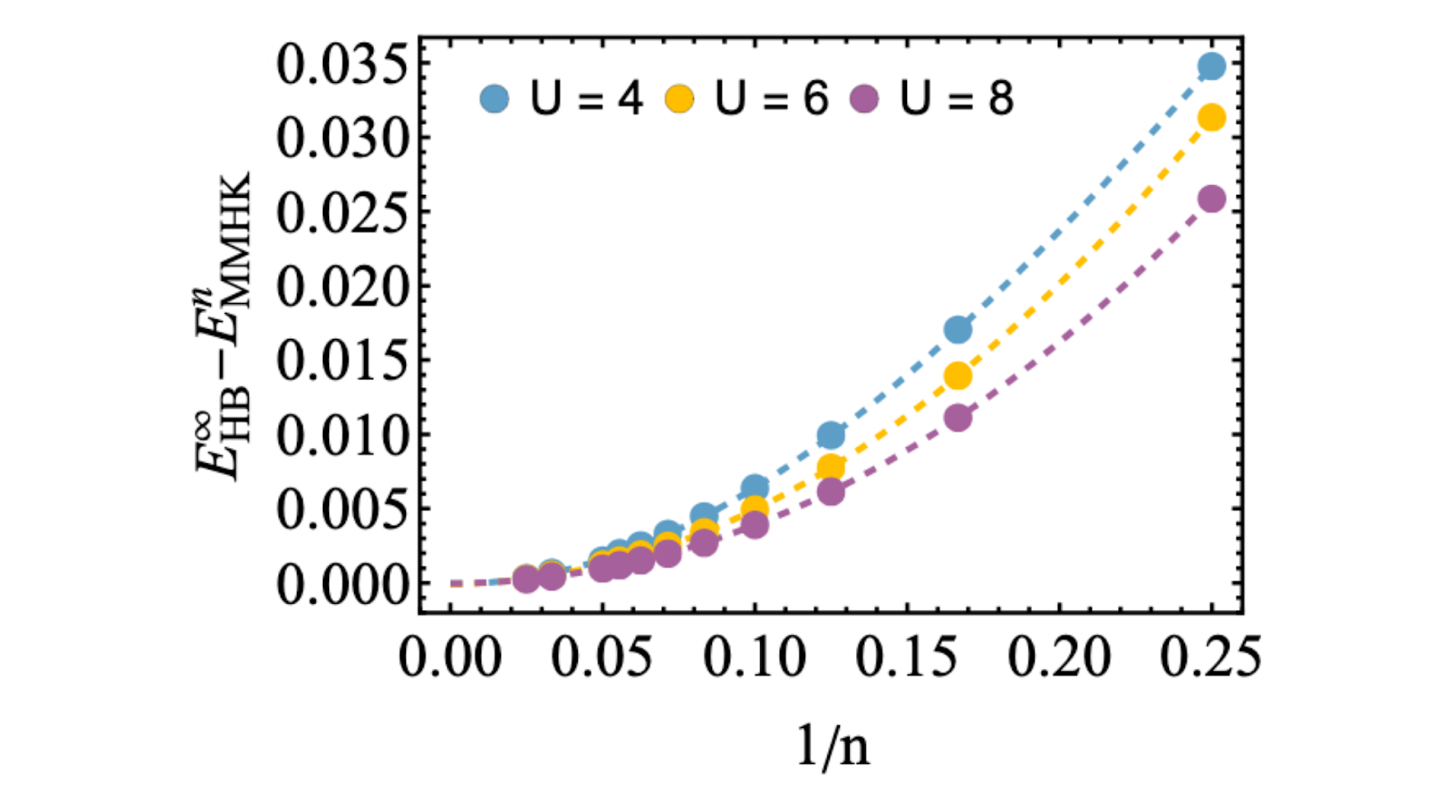
How many momenta must be mixed before we capture Mott physics? If we have to mix an excessive number of momenta—say, 1000—before any mottness emerges, then doing so is computationally impractical, defeating the model’s purpose. To demonstrate the model’s utility, Phillip's team compared it with the ground-state energy of the exactly solvable 1D Hubbard chain. They discovered that by the time just 10 momenta were incorporated, the ground-state energy found using the MMHK model was already within one percent of the known exact ground-state energy obtained using the famous Bethe ansatz method.

Difference between the exact ground-state energy of the 1D Hubbard model E∞HB and the exact energy of the 1D momentum-mixing Hatsugai-Kohmoto (MMHK) model EnMMHK as a function of the number of mixed momenta n across three different interaction strengths U. Notice that for large values of n—that is, for small values of 1/n—the difference between the two energies is nearly zero. (Credit: P. Mai et al., Nature Physics, Oct. 31, 2025)
Difference between the exact ground-state energy of the 1D Hubbard model E∞HB and the exact energy of the 1D momentum-mixing Hatsugai-Kohmoto (MMHK) model EnMMHK as a function of the number of mixed momenta n across three different interaction strengths U. Notice that for large values of n—that is, for small values of 1/n—the difference between the two energies is nearly zero. (Credit: P. Mai et al., Nature Physics, Nov. 27, 2025)

Even better, they found that the MMHK model converges inversely with the square of the number of mixed momenta (∝ 1/n2), substantially faster than leading numerical techniques such as the density matrix renormalization group (DMRG) or real-space cluster methods, which converge in an inversely linear fashion (∝ 1/n) instead.

The team then moved on to the real test: a 2D square lattice.

They discovered that in 2D, the MMHK model achieves an insulating state and also develops antiferromagnetic spin correlations, consistent with other 2D Hubbard simulations and real Mott insulators. And just like the 1D case, these results were achieved very quickly, requiring very little momenta mixing.  

“On our way to Hubbard from HK, we hoped to see an insulator,” Mai shared. “Luckily, as soon as we depart from the HK model, with just two mixed momenta, we get an insulator for any finite interaction strength. Plus, starting from just four mixed momenta and beyond, we start picking up an additional Hubbard feature known as a pseudogap, a key feature in the cuprate phase diagram.”

The most surprising part of these proof-of-principle tests is that the MMHK model can be simulated with little computational effort, in contrast to other numerical methods, which require vast supercomputing resources.

Mai noted, “The MMHK model captures some important pieces of Hubbard physics and yet anyone can solve it easily on a personal computer! Computationally, it becomes doable at the level of a graduate student’s homework problems.”

Phillips added, “We get all the stuff that people see in two dimensions using other methods. Everything looks exactly like the best simulations that people have ever done, and the magical thing is that our method converges incredibly quickly.”

Plot of the density of states 𝜌(𝜔) as a function of energy 𝜔 obtained from the MMHK model. For a zero interaction strength (U = 0, blue curve), the density of states has a central peak at zero energy, whereas for non-zero, finite interaction strengths (U > 0, all curves besides blue), the densities of states are peaked away from zero. This difference indicates a transition to an insulating state when the interaction is turned on, a signature of mottness and Hubbard physics. (Credit: P. Mai et al., Nature Physics, Oct. 31, 2025)
Plot of the density of states 𝜌(𝜔) as a function of energy 𝜔 obtained from the MMHK model. For a zero interaction strength (U = 0, blue curve), the density of states has a central peak at zero energy, whereas for non-zero, finite interaction strengths (U > 0, all curves besides blue), the densities of states are peaked away from zero. This difference indicates a transition to an insulating state when the interaction is turned on, a signature of mottness and Hubbard physics. (Credit: P. Mai et al., Nature Physics, Nov. 27, 2025)

A paradigm shift

With the introduction of this new method, the team has gotten the best of both worlds: the HK model’s exact solvability and a swift convergence to Hubbard physics.

“Now that we’ve confirmed several crucial Hubbard behaviors and observed a pseudogap phase, we want to explore other parts of the phase diagram, such as the strange-metal phase and superconductivity,” Mai commented. “And though we applied this cell-grouping idea to an electronic system, we hope to extend this method to spin systems as well.”

For Phillips, this work marks a radical paradigm shift from how Mott insulators were thought about in the recent past.

“Mottness has traditionally been studied in real space, tracking electron positions,” Phillips said. “We flipped the script and attacked mottness in momentum space, figuring out how to put momentum scattering into the HK model. In some way, this links Mott physics with the typical momentum-space approach to metals, showing that mottness, which was thought to reside entirely in real space, has a fundamental underpinning in momentum space too.

“With this latest result, we finally have a new computational tool for a long-standing problem in condensed matter physics that’s analytically tractable even in two dimensions, which is something people never thought would be possible.”

This research was funded by the U.S. Department of Energy’s Center for Quantum Sensing and Quantum Materials under Grant No. DE-SC0021238; by the National Science Foundation under Grant Nos. DMR-2111379 and ACI-1548562; and by the Gordon and Betty Moore Foundation’s EPiQS Initiative under Grant No. GBMF 8691. Any opinions, findings, conclusions or recommendations expressed in this material are those of the researchers and do not necessarily reflect the views of the funding agencies.


Daniel Inafuku graduated from Illinois Physics with a PhD and now works as a science writer. At Illinois, he conducted scientific research in mathematical biology and mathematical physics. In addition to his research interests, Daniel is a science video media creator.


Share this story

This story was published November 27, 2025.