Gravitational memory from colliding neutron stars

March 26, 2026

Jamie Bamber and Antonios Tsokaros

Enjoyed this read? Share it on social media and vote here to help the author win dinner at a local restaurant for their research group! For more information, see submission eligibility and guidelines for the Research Highlight Science Writing Contest.

The detection of gravitational waves has provided a new ability to test Einstein's theory of general relativity. However, some important predictions of general relativity have not yet been detected and are only recently understood. One of these is the so-called gravitational memory effect. When a gravitational wave passes through free-falling test particles, it induces a change in the distance between the particles. The memory effect corresponds to a non-oscillatory component of the gravitational wave, producing a permanent displacement in the particles’ position, which in principle persists indefinitely after the wave has passed.

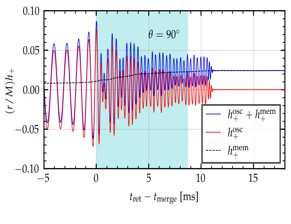
Graph depicting the strain amplitude of the gravitational wave observed in the equatorial plane (i.e., the binary orbital plane,  = 90°), showing the oscillatory wave (red), the total displacement memory  (black dashed), and the combined signal (blue) for a binary neutron star merger simulation. The shaded blue rectangle highlights the interval over which 90% of the postmerger memory is accumulated.

The gravitational waves detected by observatories like LIGO arise from the mergers of compact objects: black holes and neutron stars. The amount of gravitational memory produced can be related to the amount and distribution of energy radiated to asymptotically large distances. For black hole mergers, all the radiated energy is carried via gravitational waves, so all the gravitational memory is in the form of the so-called nonlinear memory. Merging neutron stars, however, are more complicated, producing gravitational waves, electromagnetic and neutrino radiation, as well as outflows of baryonic matter ejecta. Unlike black hole mergers where the gravitational waves die off relatively quickly, in neutron star mergers, both the electromagnetic and neutrino radiation can persist for a relatively long period of time after the merger, either from the hot rotating neutron star remnant or the accretion disk around the newly formed black hole. These emissions contribute to the gravitational wave memory as null memory, because they are related to null radiation (assuming neutrinos are massless).

In our recent paper published in Physical Review Letters, we use general relativistic magnetohydrodynamics simulations of merging neutron stars to calculate, for the first time, the gravitational wave memory produced by all of these radiation components. In particular, we study the effects of changing the neutron stars’ mass and equation of state, as well as the strength and the topology of the initial magnetic field. Our simulations include some cases where the merger produces a long-lived neutron star remnant, and some other cases where the remnant quickly collapses to a black hole. 

We found that magnetic fields, escaping neutrinos, and material blasted out during a merger can have a significant impact on gravitational memory, sometimes boosting it by 15% to 50% depending on the strength of the magnetic field. However, the interactions among these different effects are more complicated than one might expect. While introducing a magnetic field produces additional electromagnetic radiation that adds to the memory signal, it can still produce a smallermemory signal overall, as the magnetic field can alter the evolutionary path of the merger remnant, suppressing its gravitational radiation and the associated gravitational memory. Our results show that future studies will have to carefully consider the degeneracies between the different parameters (such as the mass, equation of state, as well as the magnetic field) for an accurate interpretation of the observational data. 

While the gravitational memory signal is likely too small to be detected by current gravitational wave detectors, we estimate that future planned observatories like the space-based LISA mission or the ground-based Cosmic Explorer and Einstein telescope will be able to observe this signal, giving us a new avenue to constrain the properties of these extreme systems.

 

Jamie Bamber, Antonios Tsokaros, Milton Ruiz, Stuart L. Shapiro, Marc Favata, Matthew Karlson, and Fabrizio Venturi Pinas,  Phys. Rev. Lett. 136, 041401, DOI: https://doi.org/10.1103/k3hl-4n82